Ответы
Ответ дал:
0
- - +
_____________[-2]__________(-1)___________
t∈(-∞;-1)
log₂x<-1 ОДЗ: x>0
log₂x<log₂(1/2)
2- основание логарифма, 2>1, следовательно
x<1/2
С учётом ОДЗ получаем 0<x<1/2
Ответ: (0; 1/2)
Ответ дал:
0
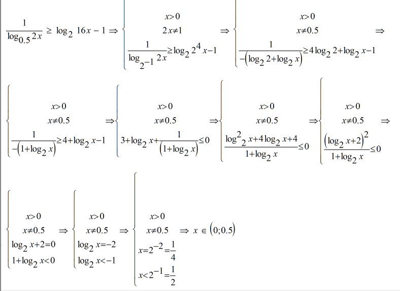
решение смотри во вложении
Приложения:

Ответ дал:
0
и как это из неравенства получилось уравнение?
Ответ дал:
0
числитель не может быть < 0
Ответ дал:
0
уравнение то никак из этого не получится))
Ответ дал:
0
зато знаменатель может быть < 0
Ответ дал:
0
так оно и есть
Вас заинтересует
7 лет назад
9 лет назад