Ответы
Ответ дал:
0
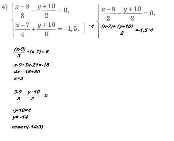
смотри скан внизу
--------------------------
--------------------------
Приложения:

Вас заинтересует
7 лет назад
7 лет назад
9 лет назад
10 лет назад
10 лет назад