• Предмет: Математика
  • Автор: Раушан2004
  • Вопрос задан 10 лет назад

Помогите !!Помогите пожалуйста

Приложения:

Ответы

Ответ дал: MusicMasha1
0
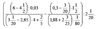
(6-4 1/2):0,03= 1,5:0,03=150:3=50<br />(3 1/20-2,65)*4+2/5=0,4*4+0,4=2<br />50/2=25/1=25<br />--------------------------<br />(0,3-3/20)*1 1/2=0,15*1,5=0,225<br />(1,88+2 3/25)*1/80=4*1/80=1/20=0,05<br />0,225/0,05=225:50=4,5<br />-------------------------<br />25-4,5=20,5<br />--------------------------<br />20,5:2 1/2=20,5:2,5=8,2<br />------------------------<br />Ответ: 8,2<br />------------------------<br />Я старалась, надеюсь Вы сделайте мой ответ лучшим<br />
Ответ дал: Раушан2004
0
Я не поняла
Вас заинтересует