Помогите, пожалуйста с решением
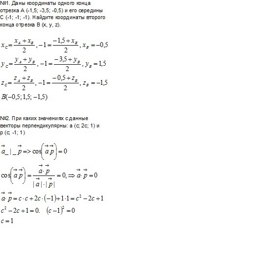
№1. Даны координаты одного конца
отрезка А (-1,5; -3,5; -0,5) и его середины
С (-1; -1; -1). Найдите координаты второго
конца отрезка В (х, у, z).
№2. При каких значениях с данные
векторы перпендикулярны: а (с; 2с; 1) и
р (с; -1; 1)
Ответы
Ответ дал:
0
решение во вложении---------------------------
Приложения:

Вас заинтересует
2 года назад
2 года назад
7 лет назад
7 лет назад
9 лет назад
10 лет назад