Ответы
Ответ дал:
0
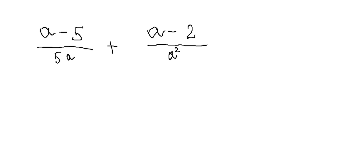
=a*(a-5)/(5*a²)+5*(a-2)/(5*a²)=(a²-5*a+5*a-10)/(5*a²)=(a²-10)/(5*a²).
Ответ: (a²-10)/(5*a²).
Ответ: (a²-10)/(5*a²).
Ответ дал:
0
на фото смотрите решение
Приложения:

Вас заинтересует
2 года назад
7 лет назад
9 лет назад
10 лет назад