• Предмет: Математика
  • Автор: ddsvd
  • Вопрос задан 10 лет назад

2 log7 (x-1)=log7 (5x+1)

Ответы

Ответ дал: SergFlint
0
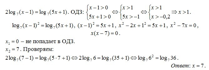
Решение в приложении.
Приложения:
Вас заинтересует