Ответы
Ответ дал:
0
построим графики этих функций.
Парабола пересекает ox в точках (1+-√17) / 2
графики пересекаются в точках:
-x^2 + x + 4 = -x + 1
x^2 - 2x - 3 = 0
x1 = 3
x2 = -1
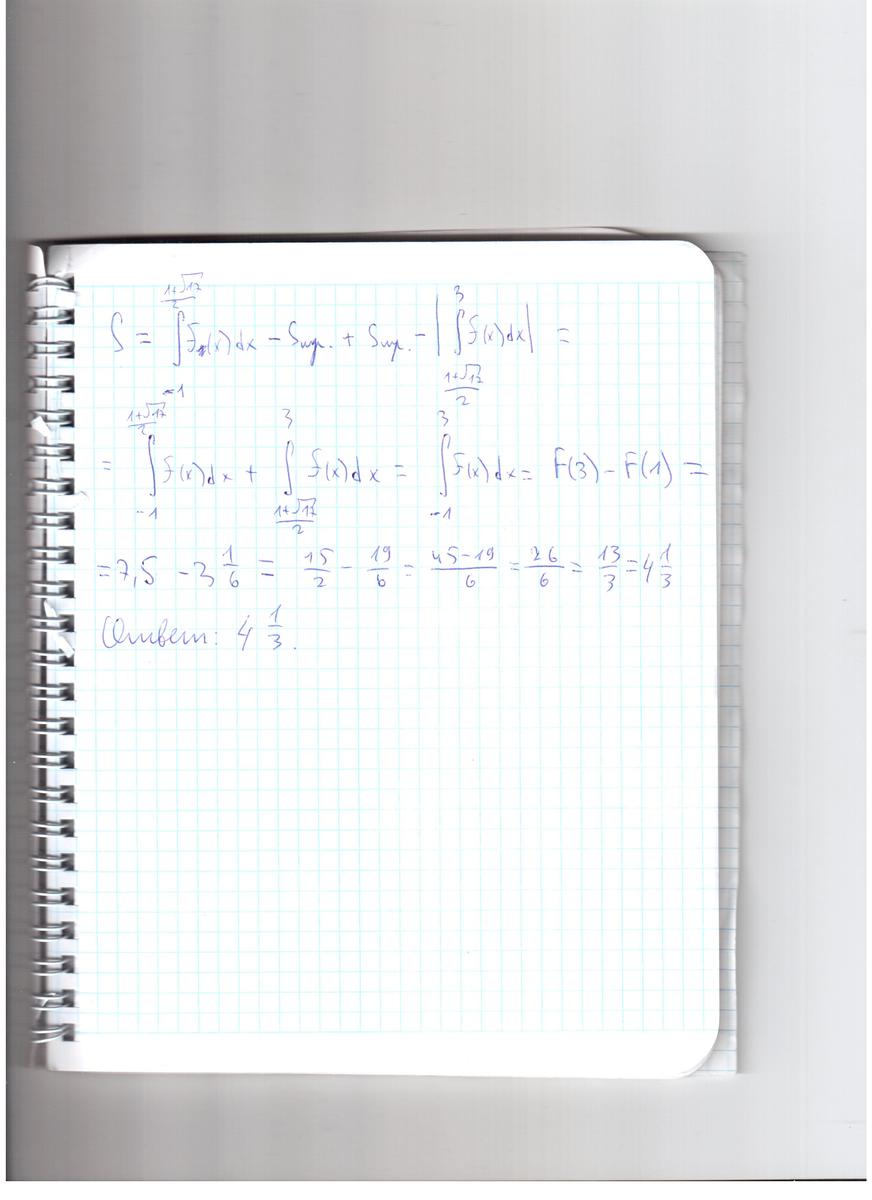
Используя геометрический смысл определенного интеграла и формулу Ньютона-Лейбница найдем искомую площадь:
y = -x^2 + x + 4
F(y) = -x^3/3 + x^2/2 + 4x
продолжение во вложении
Парабола пересекает ox в точках (1+-√17) / 2
графики пересекаются в точках:
-x^2 + x + 4 = -x + 1
x^2 - 2x - 3 = 0
x1 = 3
x2 = -1
Используя геометрический смысл определенного интеграла и формулу Ньютона-Лейбница найдем искомую площадь:
y = -x^2 + x + 4
F(y) = -x^3/3 + x^2/2 + 4x
продолжение во вложении
Приложения:
Вас заинтересует
3 года назад
3 года назад
10 лет назад
10 лет назад
10 лет назад
10 лет назад