Ответы
Ответ дал:
0
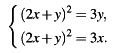
3у=3х
у=3х/3
у=х
(2х+у)²=3х
(2у+у)²=3у
(3у)²=3у
9у²-3у=0
3у(3у-1)=0
3у=0
у1=0
х1=0
3у-1=0
3у=1
у2=1/3
х2=1/3
Ответ: (0;0) и (1/3;1/3)
у=3х/3
у=х
(2х+у)²=3х
(2у+у)²=3у
(3у)²=3у
9у²-3у=0
3у(3у-1)=0
3у=0
у1=0
х1=0
3у-1=0
3у=1
у2=1/3
х2=1/3
Ответ: (0;0) и (1/3;1/3)
Вас заинтересует
3 года назад
8 лет назад
8 лет назад
10 лет назад