1. Как получить подчеркнутое выражение.
2. Как получить значения выделенной совокупности.
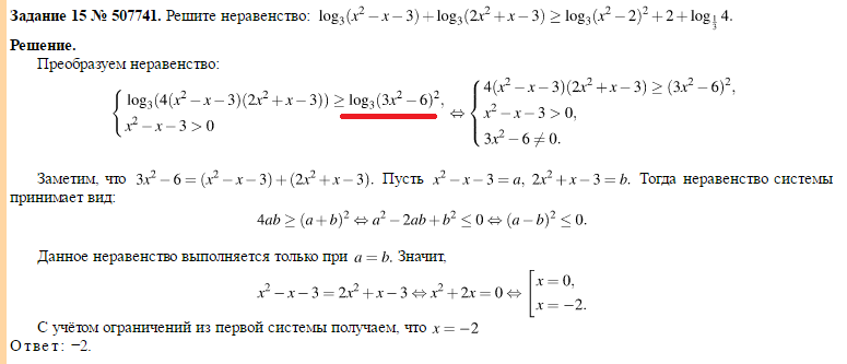
Какие действия необходимо выполнить для получения таких выражений и значений. Необходимы объяснения


Ответы
1) поскольку в 1 примере будем использовать только log по основанию 3, то я буду писать просто log (основание 3 подразумевается):
объясняю как преобразовалась правая часть : log 4 (по основанию 1/3 перенесли влево, осталось:
log(x^2-2)^2+2=log(x^2-2)^2+log 9=log(9(x^4-4x^2+4))=log (9x^4-36x^2+36)= в скобках как раз получился квадрат двучлена) = log ((3x^2-6)^2)
2) здесь все log по основанию 2.
первое неравенство:
log x меньше или равно -1
log x +1 меньше или равно 0
log x + log 2 меньше или равно 0
log 2x меньше или равно 0
log 2x меньше или равно log 1
2x меньше или равно 1 (и больше 0 по определению логарифма)
х меньше или равно 1/2 (и больше 0)
второе неравенство:
0,5 меньше log x меньше или равно 1,25
1/2 меньше log x меньше или равно 125/100
log 2^(1/2) меньше log x меньше или равно 5/4
log (корня из 2) меньше log x меньше или равно log 2^(5/4)
корень из 2 меньше x меньше или равно 2^(5/4)
((2^(5/4) это и есть корень 4 степени из 2^5)