Ответы
Ответ дал:
0
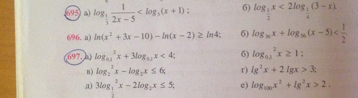
log (1/(2x-5)) по осн.1/3 < log (x+1) по осн 3
Перейдём к осн.3 в левой части неравенства
log 1 /log (2x - 5) по осн.3 3 < log(x+1) по осн 3
0 / log (2x - 5) по осн.3 < log ( x+1) по осн 3
0 < log (x+1) по осн 3 ⇒ log 1 по осн 3 < log (x+1) по осн 3 ⇒
1 < (x+1) ⇒ x > 1 - 1 ⇒ x > 0
697 . Обозначим log x по осн.0,1 = t ⇒
t² + 3 t = 4
t² + 3 t - 4 = 0
D = 9 + 16 = 25 = 5²
t 1 = ( - 3 - 5 )/ 2 = -4
t 2 = ( -3 + 5 ) / 2 = 1
1) log x по осн 0,1 = -4 ⇒ х = 0,1^ (-4 ) = (10 ^(-1))^ (-4) = 10^4 = 10000
2 ) log x по осн. 0.1 = 1 ⇒ х = (0,1)^1 = 0.1
Перейдём к осн.3 в левой части неравенства
log 1 /log (2x - 5) по осн.3 3 < log(x+1) по осн 3
0 / log (2x - 5) по осн.3 < log ( x+1) по осн 3
0 < log (x+1) по осн 3 ⇒ log 1 по осн 3 < log (x+1) по осн 3 ⇒
1 < (x+1) ⇒ x > 1 - 1 ⇒ x > 0
697 . Обозначим log x по осн.0,1 = t ⇒
t² + 3 t = 4
t² + 3 t - 4 = 0
D = 9 + 16 = 25 = 5²
t 1 = ( - 3 - 5 )/ 2 = -4
t 2 = ( -3 + 5 ) / 2 = 1
1) log x по осн 0,1 = -4 ⇒ х = 0,1^ (-4 ) = (10 ^(-1))^ (-4) = 10^4 = 10000
2 ) log x по осн. 0.1 = 1 ⇒ х = (0,1)^1 = 0.1
Вас заинтересует
3 года назад
3 года назад
8 лет назад
10 лет назад
10 лет назад
10 лет назад
10 лет назад