Решите пожалуйста желательно подробно
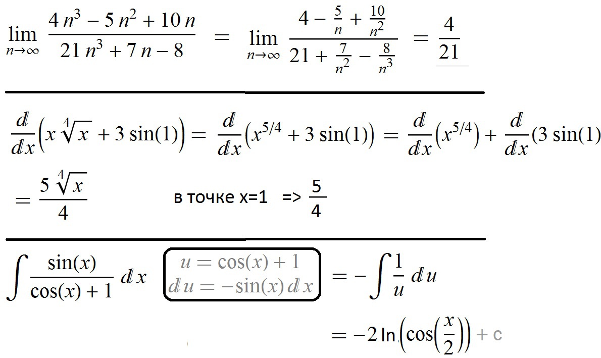
1) найдите предел:
Iim 4n^3-5n^2+10n / 21n^3+7n-8 n ->к бесконечности
2) найдите производные функции в точке:
Х0=1 y=x*^4 корень из х +3sin1
3) найдите неопределенный интеграл
sin xdx / cos x+1
Приложения:




Ответы
Ответ дал:
0
______________________________
Приложения:

Вас заинтересует
2 года назад
2 года назад
7 лет назад
7 лет назад
9 лет назад
9 лет назад
10 лет назад
10 лет назад