Ответы
Ответ дал:
0
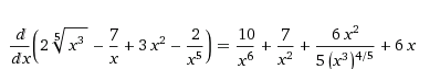
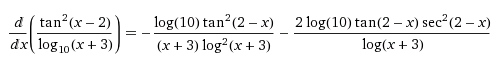
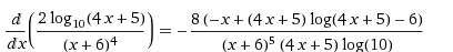
смотри сканы внизу
------------------------------
------------------------------
Приложения:




Ответ дал:
0
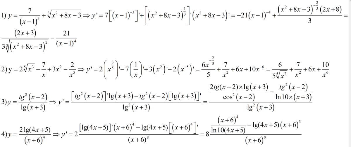
решение смотри во вложении
Приложения:

Вас заинтересует
2 года назад
2 года назад
7 лет назад
7 лет назад
9 лет назад
9 лет назад
10 лет назад