Решить определенный интеграл с помощью подстановки:
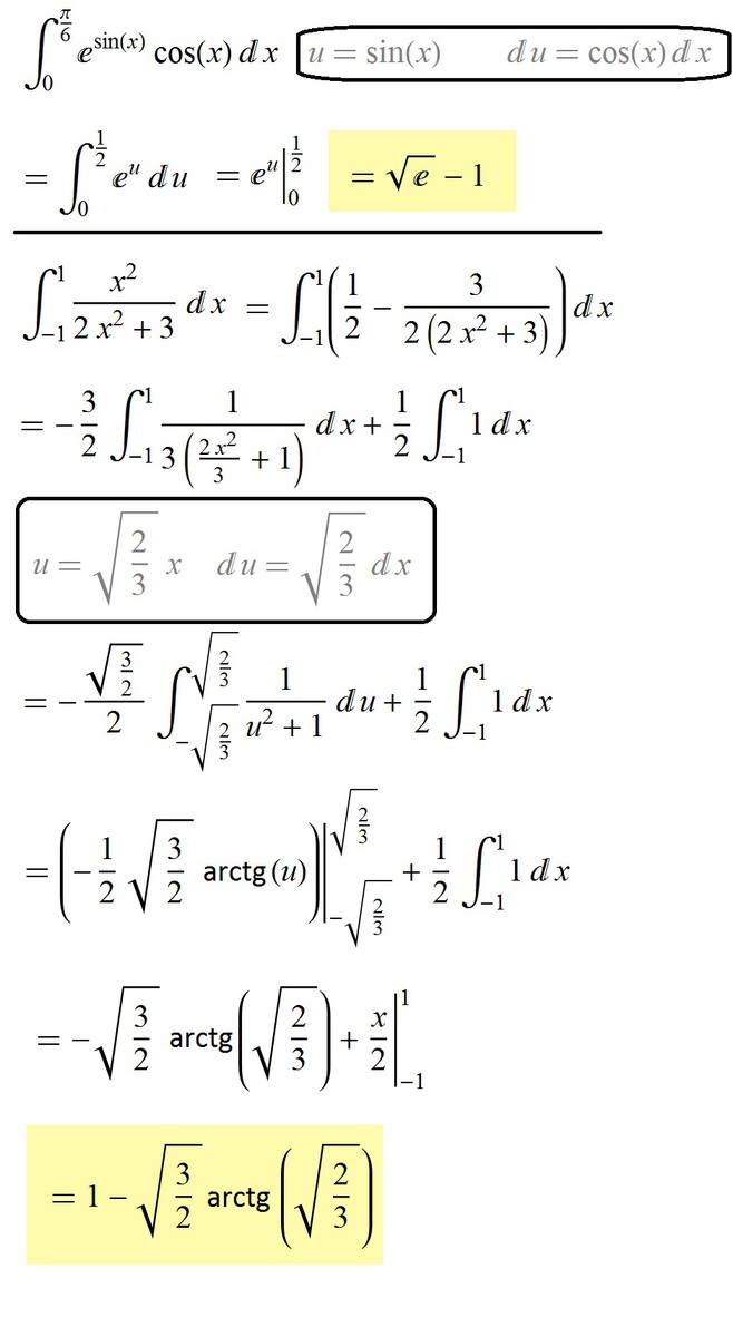
1) ∫ (снизу 0 сверху п/6) е^sin x * cos x dx
2) ∫ (снизу -1 сверху 1) х^2 dx/3+2x^3
Ответы
Ответ дал:
0
_____________________
Приложения:

Вас заинтересует
2 года назад
2 года назад
7 лет назад
7 лет назад
9 лет назад
10 лет назад
10 лет назад