Ответы
Ответ дал:
0
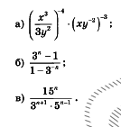
1) 
2)
при n≠0
3)
2)
3)
Вас заинтересует
3 года назад
3 года назад
8 лет назад
8 лет назад
10 лет назад
10 лет назад
10 лет назад