• Предмет: Математика
  • Автор: blackcat66625
  • Вопрос задан 11 лет назад

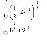
1) (1/8 * 1/27 в -1степени) в степени 1/3

2) 8 в степени 2/3 + 9 в -1степени

Приложения:

Ответы

Ответ дал: yuriiterentev
0

 

(1/8 * 27^(-1))^(-1/3)=(1/8 *1/27)^(-1/3)

степень -1/3 - это корень кубический и все это в знаменателе

будет равно 1/(1/2 * 1/3) = 1/(1/6)=6

второе:

8:(2/3)*9^(-1)=  также 1/3 чтепень -это корень кубический= 2^2/9=4/9 

 

 

 

 

 

 

 

 

Вас заинтересует