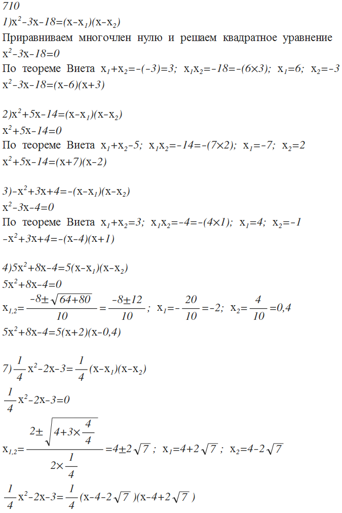
Розкладіть на лінійні множники квадратний тричлен:
1) х-3х-18
2) х+5х-14
3) -х+3х+4
4) 5х+8х-4
и ещё во вложении 7 пример номер 710
Приложения:

Ответы
Ответ дал:
0
решение смотри во вложении
Приложения:

Вас заинтересует
2 года назад
8 лет назад
8 лет назад
10 лет назад
10 лет назад
10 лет назад