решите пожалуста. с объяснением:Среднее арифметическое трёх чисел равно 1,8. Найдите неизвестное число, если два других равны 2,1 и 0,9
Ответы
Ответ дал:
0
1) Х это третье число
(2,1+0,9+Х):3=1,8
2,1+0,9+х=1,8*3
3+Х=5,4
Х=5,4-3
Х=2,4
Ответ : число имеет значение 2,4.
(2,1+0,9+Х):3=1,8
2,1+0,9+х=1,8*3
3+Х=5,4
Х=5,4-3
Х=2,4
Ответ : число имеет значение 2,4.
Ответ дал:
0
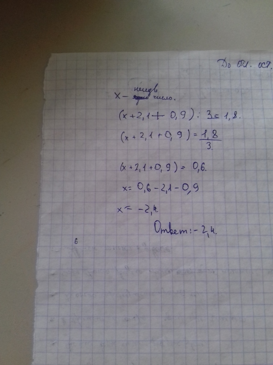
вот))))))))))))))))))))
Приложения:
Вас заинтересует
2 года назад
2 года назад
8 лет назад
10 лет назад