• Предмет: Геометрия
  • Автор: QQrt
  • Вопрос задан 11 лет назад

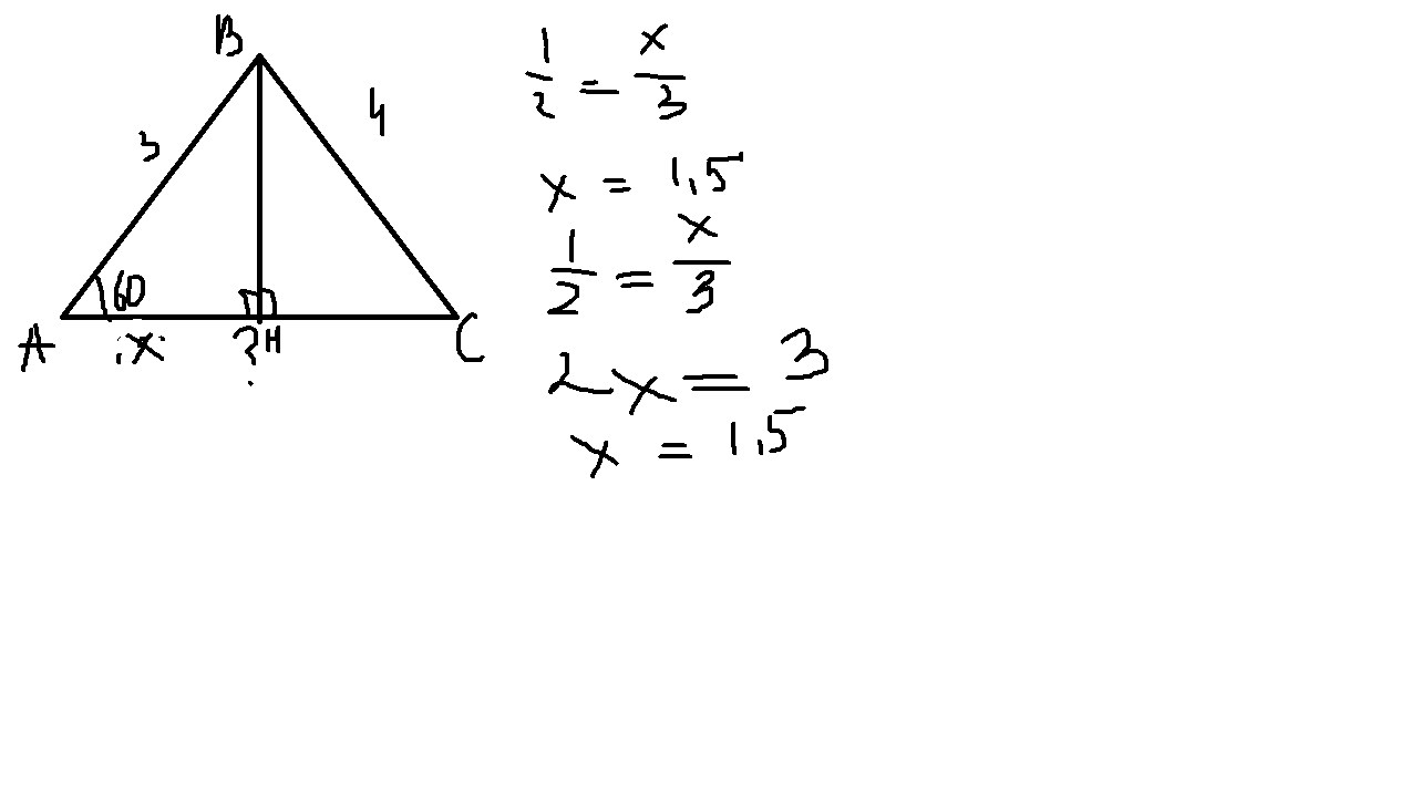
В треугольнике АВС угол А равен 60 градусов,АВ=3 см,ВС=4 см.  Найдите АС

Ответы

Ответ дал: vivalaviva12
0

1) опустим высоту BH

2) Рассмотрим ABH, H = 90

cos 60 = x/AB

1/2 = x/3

x = 1,5

3)По теореме Пифагора

AB^2 = AH^2 + BH^2

BH^2 = AB^2-AH^2

 4)Рассмотрим BHC, H = 90

По теореме Пифагора

BC^2 = BH^2 + HC^2

BH^2 = BC^2-HC^2

5)AC = AH + HC

Ответ

P.S. числа подставьте сами, мне лень.

 

 

 

Приложения:
Вас заинтересует