Ответы
Ответ дал:
0
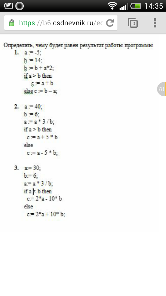
В перовом ответ 9;
Во-втором ответ 50;
В третьем ответ 90.
Во-втором ответ 50;
В третьем ответ 90.
Вас заинтересует
2 года назад
8 лет назад
10 лет назад
10 лет назад
10 лет назад