• Предмет: Математика
  • Автор: hitominaruko
  • Вопрос задан 10 лет назад

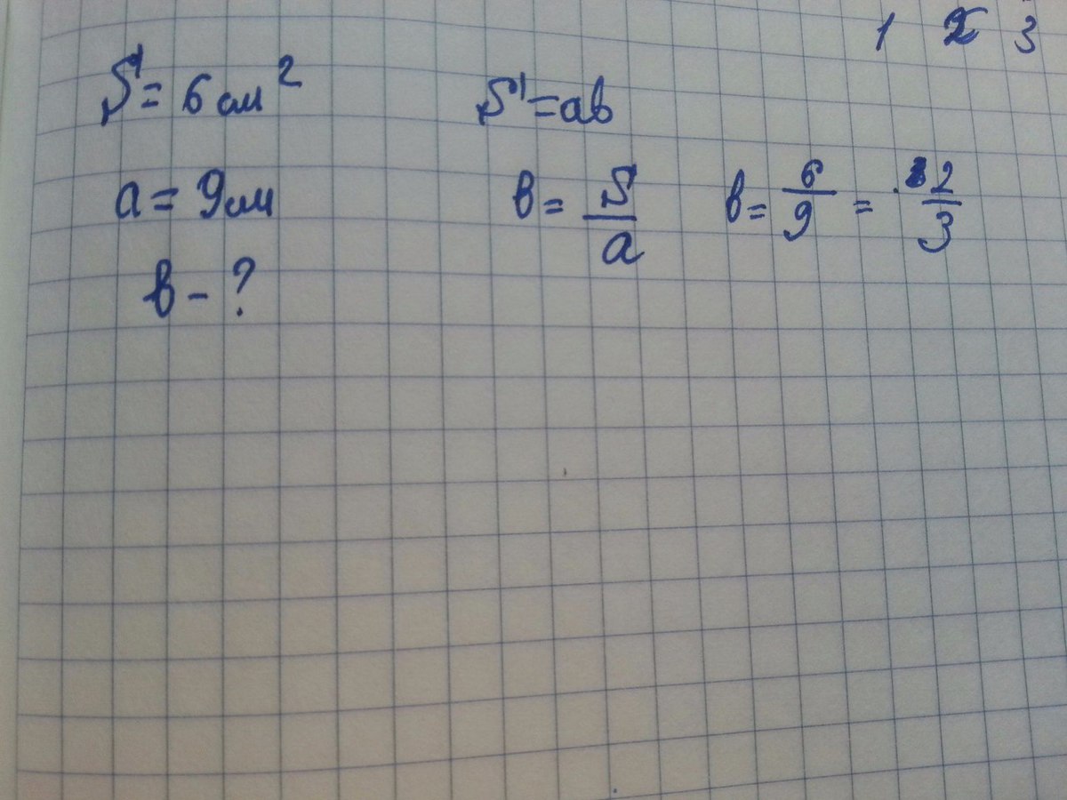
длина прямоугольной доски 9 см а её площядь 6 кв см найдите ширину

Ответы

Ответ дал: Елена144
0
смотрите решение на фото
Приложения:
Ответ дал: TataHolkina
0
Т.к. дан прямоугольник,то:
Sпрямоугольника=длина*ширина.,следовательно подставим
6=9*x
х=6/9=2/3

Приложения:
Вас заинтересует