• Предмет: Алгебра
  • Автор: natali12061
  • Вопрос задан 10 лет назад

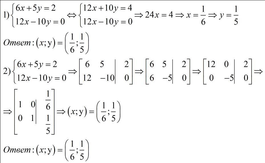
6х+5у =2
12х-10у=0
Помогите решить систему уравнения додаванием

Ответы

Ответ дал: MizoriesKun
0

6х+5у =2   | *2

12х-10у=0

-----------------------

12х+10у =4

12х-10у=0

---------------------- сложим почленно

24х =4    ⇒  х=1/6

6* (1/6)+ 5у=2  ⇒     5у=1   ⇒   у=1/5

Ответ (1/6;  1/5)

Ответ дал: dimaogol2000
0

Ответ:

Объяснение:

........................................

Приложения:
Вас заинтересует