Ответы
Ответ дал:
0
Решение во вложении, думаю,что так
Приложения:

Ответ дал:
0
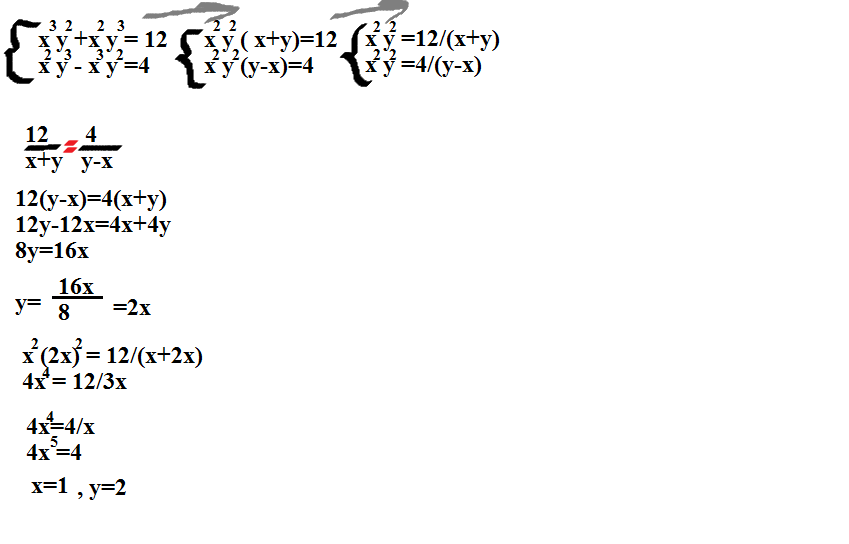
х³у²+х²у³=12
х²у³+х³у²=12
х²у³-х³у²=4, х²у³-х³у²=4,
2 х²у³=12+4 2 х²у³=16
х²у³=8,тогда х³у²=12-8 х³у² =4,то есть
х²у³=8
х³у²=4.Разделим первое уравнение на второе у/х=2 или у=2х.
Подставим в уравнение (1) віражение у через х: х²·(2х)³=8,8х⁵=8,х=1,а у=2·1=2
Ответ:(1;2)
х²у³-х³у²=4, х²у³-х³у²=4,
2 х²у³=12+4 2 х²у³=16
х²у³=8,тогда х³у²=12-8 х³у² =4,то есть
х²у³=8
х³у²=4.Разделим первое уравнение на второе у/х=2 или у=2х.
Подставим в уравнение (1) віражение у через х: х²·(2х)³=8,8х⁵=8,х=1,а у=2·1=2
Ответ:(1;2)
Приложения:

Вас заинтересует
2 года назад
7 лет назад
7 лет назад
9 лет назад
10 лет назад