• Предмет: Геометрия
  • Автор: juliafenecka
  • Вопрос задан 10 лет назад

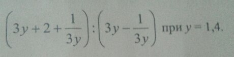
Помогите пожалуйста!! Найдите значение выражения (во вложении)

Приложения:

Ответы

Ответ дал: SergFlint
0
Решение в приложении.
Приложения:
Вас заинтересует