• Предмет: Математика
  • Автор: данил885
  • Вопрос задан 10 лет назад

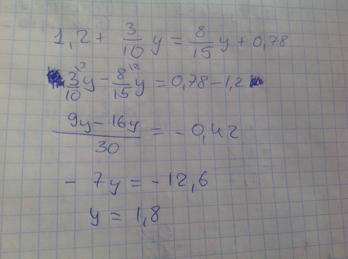
Решите уравнение пожалуйста

Приложения:

Ответы

Ответ дал: Marik5Komarik
0
Должно быть так. Ответ: 1,8
Приложения:
Ответ дал: daha1979
0
неправильно!
Ответ дал: Marik5Komarik
0
-12,6 получается, когда -0,42*30
Ответ дал: daha1979
0
3/10 это 30/100,поэтому
1,2+0,03у А ДАЛЬШЕ САМ!
Приложения:
Вас заинтересует