Ответы
Ответ дал:
0
1 случай(ответ некрасивый)
Вообщем,я не знаю правильно или нет,но у меня получилось так:
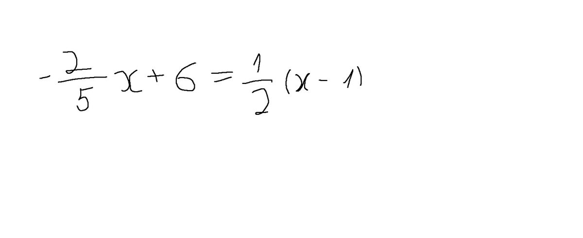
1)Помножим обе части уравнения на число,кратное 5 и 2(число 10),получим:-4х+60=5(х-1)
2)Раскроем скобки в правой части уравнения,получим:-4х+60=5х-5
3)Слагаемые с х в левую часть уравнения,слагаемые без х в правую часть:-4х-5х=-60-5
4)Упростим:-9х=-65
5)х=-65/-9=7,(2)
Ответ некрасивый,но ты можешь проверить
2 случай(ответ более менее)
-2/5х+6=0.5х-0.5
-2х+6=0.5х-0.5
-2.5х=-6.5
х=2.6
Скорее всего 2 случай.
Вообщем,я не знаю правильно или нет,но у меня получилось так:
1)Помножим обе части уравнения на число,кратное 5 и 2(число 10),получим:-4х+60=5(х-1)
2)Раскроем скобки в правой части уравнения,получим:-4х+60=5х-5
3)Слагаемые с х в левую часть уравнения,слагаемые без х в правую часть:-4х-5х=-60-5
4)Упростим:-9х=-65
5)х=-65/-9=7,(2)
Ответ некрасивый,но ты можешь проверить
2 случай(ответ более менее)
-2/5х+6=0.5х-0.5
-2х+6=0.5х-0.5
-2.5х=-6.5
х=2.6
Скорее всего 2 случай.
Вас заинтересует
3 года назад
3 года назад
8 лет назад
8 лет назад
10 лет назад
10 лет назад