• Предмет: Алгебра
  • Автор: Paramonova1974
  • Вопрос задан 10 лет назад

6 класс, на 20 баллов, следить буду строго

Приложения:

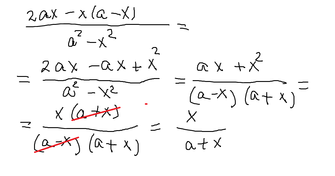
Ответы

Ответ дал: ShirokovP
0
см. вложение
====================
Приложения:
Вас заинтересует