• Предмет: Математика
  • Автор: Янчик550808
  • Вопрос задан 10 лет назад

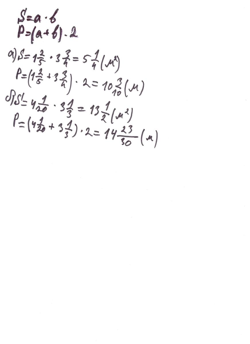
Решите а и б номер 1046

Приложения:

Ответы

Ответ дал: mrdimalo
0
Вот ФОТО, если что-то непонятно то напиши
Приложения:
Вас заинтересует