• Предмет: Алгебра
  • Автор: knovytska
  • Вопрос задан 11 лет назад

Найдите область определения. 

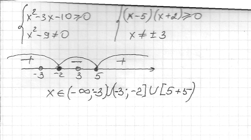
y=sqrt{x^2-3x-10}-frac{5}{x^2-9}

Ответы

Ответ дал: Rechnung
0

begin{cases} x^2-3x-10geq0\x^2-9neq0 end{cases}\\begin{cases} (x+2)(x-5)geq0\(x-3)(x+3)neq0 end{cases}\\begin{cases} (x+2)(x-5)geq0\xneq+-3 end{cases}

 

 

     +                    +                      -                               -                               +

_______-3 ________ -2 ___________ 3 ______________ 5 ________________

 

 

xin(-infty;-3)cup(-3;-2]cup[5;+infty)

Ответ дал: Yena
0

///////////////////////////////////////////////////////////////////////////////////////////////////////////////////////////////

Приложения:
Вас заинтересует