• Предмет: Алгебра
  • Автор: yanaklassyana20
  • Вопрос задан 10 лет назад

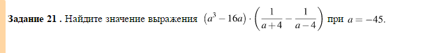
Помогите решить, пожалуйста, фото ниже

Приложения:

Ответы

Ответ дал: Ellenochka
0
(a^3-16a)*( frac{1}{a+4} - frac{1}{a-4} ) = frac{a(a^2-4^2)}{a+4} - frac{a(a^2-4^2)}{a-4}= \ =frac{a(a-4)(a+4)}{a+4} - frac{a(a-4)(a+4)}{a-4}=a(a-4)-a(a+4)= \ =a^2-4a-a^2-4a=-8a
_______________
при а = -45
-8*а = (-8)*(-45) = 360
Вас заинтересует