• Предмет: Алгебра
  • Автор: 123000asd
  • Вопрос задан 10 лет назад

Помогите, пожалуйста, упростить выражение.
(Очень срочно нужно )

Приложения:

Ответы

Ответ дал: No03
0
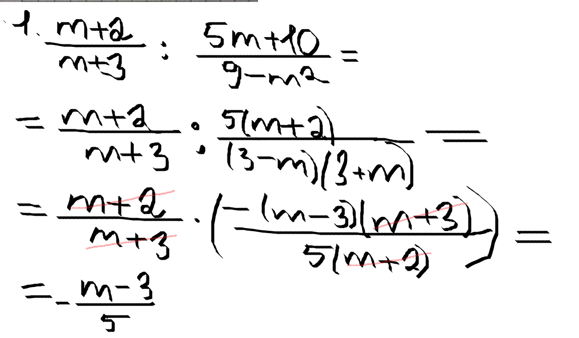
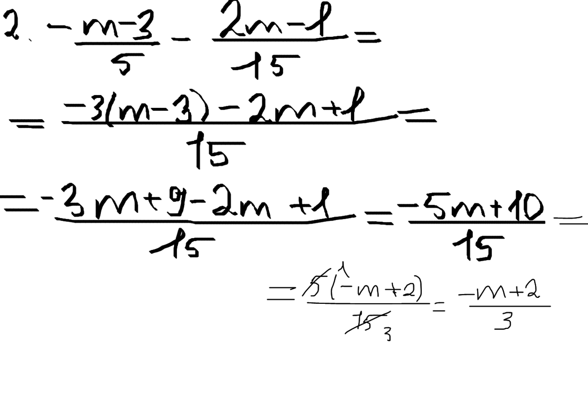
Решение на фото.......
Приложения:
Вас заинтересует