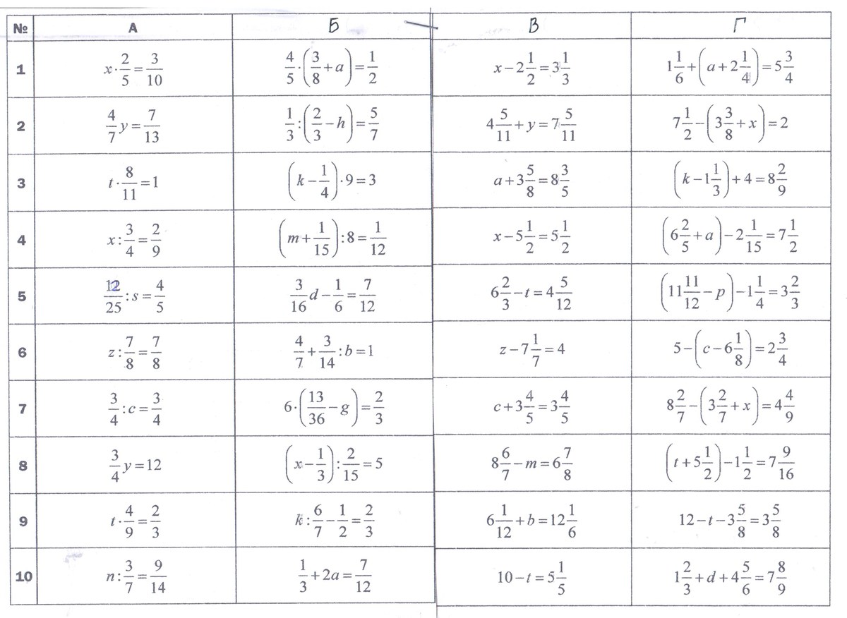
решите уравнения пожалуйста, шестая строчка под буквой б,г. восьмая строчка под буквой г. десятая строчка под буквой г
помогите пожалуйста очень надо
Приложения:

Ответы
Ответ дал:
0
..............................
Приложения:

Вас заинтересует
2 года назад
2 года назад
7 лет назад
9 лет назад
9 лет назад
10 лет назад