• Предмет: Математика
  • Автор: myaromolyaa
  • Вопрос задан 10 лет назад

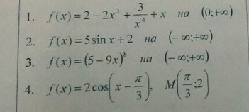
Найдите все первообразные F(x) для функции 1-3.В четвертом задании найдите для заданной функции f(x) ту первообразную ,график которой проходит через точку М.

Приложения:

Ответы

Ответ дал: Lemon4iki
0
1. f(x)=2-2x^3+frac{3}{x^4}+x=2-2x^3+3x^{-4}+x\
F(x)=2x-2frac{x^4}{4}+3frac{x^{-3}}{-3}-frac{x^2}{2}+C=2x-0.5x^4-frac{1}{x^3}-0.5x^2+C

2. f(x)=5sin x+2\
F(x)=-5cosx+2x+C

3. f(x)=(5-9x)^8\
F(x)=frac{(5-9x)^9}{9}*(-frac{1}{9})+C=-frac{1}{81}(5-9x)^9+C

4. f(x)=2cos(x-frac{pi}{3})\
F(x)=2sin(x-frac{pi}{3})+C\
M(frac{pi}{3},2)= textgreater   2=2sin(pi/3-pi/3)+C\
2=2sin0+C\
C=2\
F(x)=2sin(x-pi/3)+2
Вас заинтересует