• Предмет: Математика
  • Автор: mikola412
  • Вопрос задан 10 лет назад

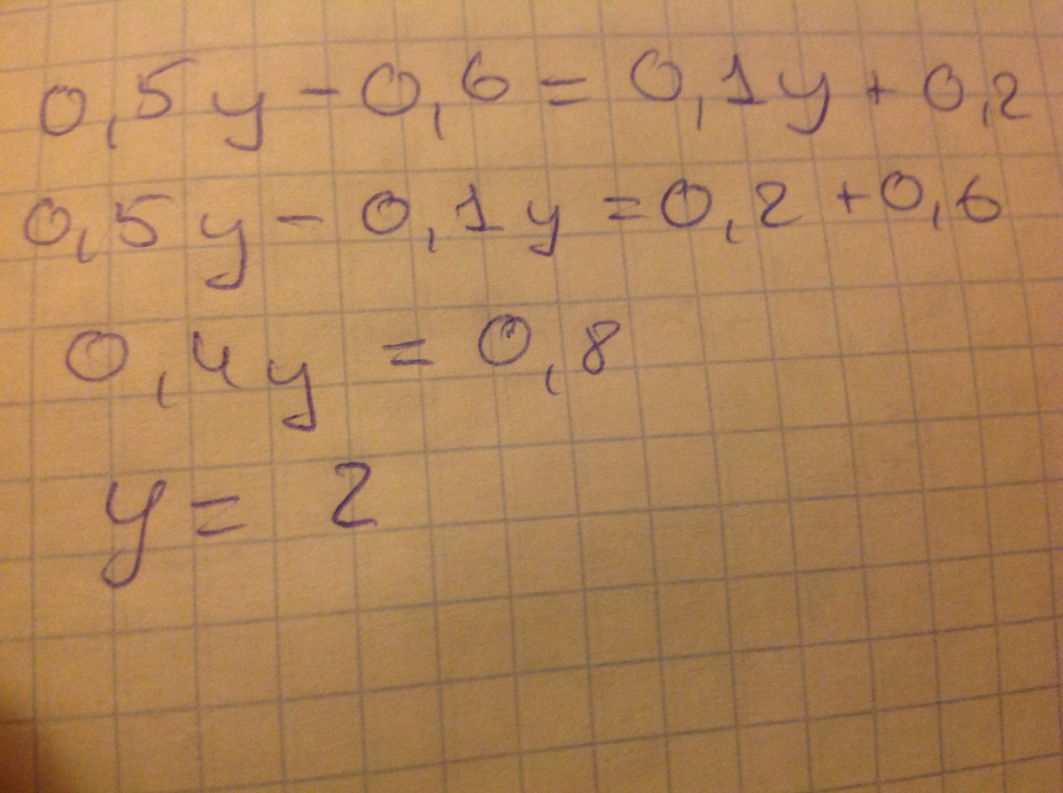
найдите корень
0,5y-0,6=0,1y+0,2
10 баллов Пож

Ответы

Ответ дал: Marik5Komarik
0
Должно быть так. Ответ: 2
Приложения:
Ответ дал: xarost
0
0.5y - 0.6 = 0.1y + 0.2 | 10 (домножим на 10, чтобы легче было)
5y - 6 = 1y + 2
5y - 1y = 2 + 6
4y = 8
y = 8 : 4
y = 2
Ответ: 2

Приложения:
Вас заинтересует