• Предмет: Физика
  • Автор: Scat
  • Вопрос задан 10 лет назад

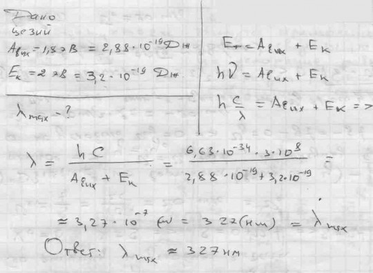
Фотоэлектроны, выбитые из цезия, имеют кинетическую энергию 2эВ. Какова длина волны, вызывающая фотоэффект?Работа выхода из цезия 1,8 эВ. Помогите, не могу понять.

Ответы

Ответ дал: lazzat2003323
0
наерно так у вас есть ответ
Приложения:
Вас заинтересует