• Предмет: Геометрия
  • Автор: vikonio
  • Вопрос задан 10 лет назад

11 класс,32 задача))срочно на помощь))

Приложения:

Ответы

Ответ дал: kirichekov
0
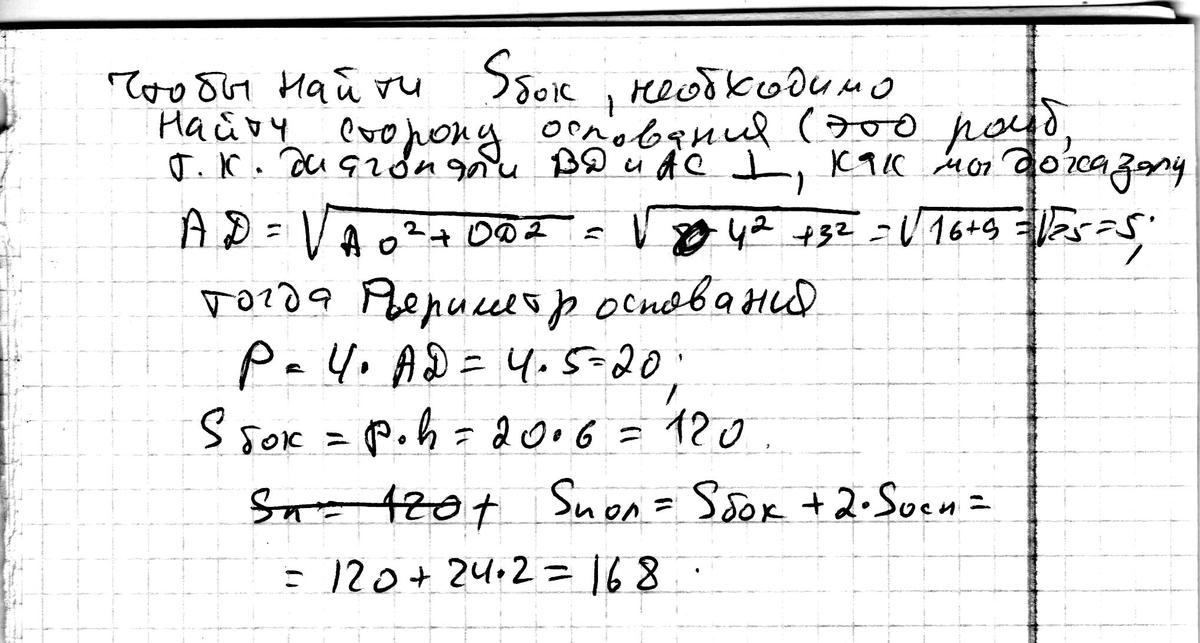
решение во вложении-------------------
Приложения:
Ответ дал: Аноним
0
Проверьте цифры. Слегка отупел. Все. Перекур
Приложения:
Ответ дал: Аноним
0
точно отупел. перепутал диагонали и стороны
Ответ дал: vikonio
0
по цифрам вроде ж то)
Ответ дал: Аноним
0
Все равно неверно. КОГДА РАЗРЕШАТ ИСПРАВЛЮ.
Вас заинтересует