• Предмет: Алгебра
  • Автор: rina2199
  • Вопрос задан 10 лет назад

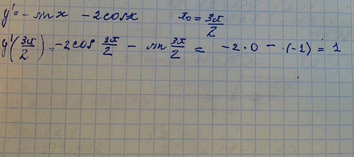
Найдите значение производной функции y=cos x- 2sin x,при x0(x нулевое)=3П/2

Ответы

Ответ дал: Елена144
0
смотрите решение на фото
Приложения:
Вас заинтересует