Ответы
Ответ дал:
0
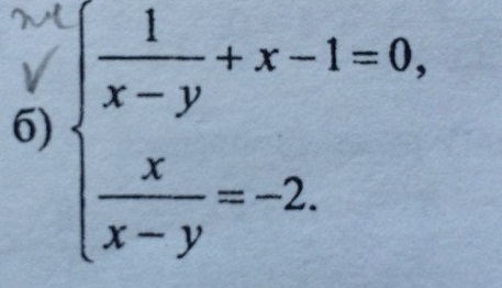
1/х-у +х-1=0
х/х-у=-2
1/х-у=-2/х
-2/х +х-1=0
-2/х +х=1
-2+х²/х=1
-2+х²=х
х²-х-2=0
D=1-4*(-2)=1+8=9 (3²)
x1=1+3/2=4/2=2
х/х-у=-2
х=-2(х-у)
х=-2х+2у
2y=x+2x
2y=3x
y=3x/2
y1=3*2/2=6/2=3
x2=1-3/2=-2/2=-1
y2=3*(-1)/2=-3/2=-1,5
Ответ:
х1=2; у1=3
х2=-1; у2=-1,5
х/х-у=-2
1/х-у=-2/х
-2/х +х-1=0
-2/х +х=1
-2+х²/х=1
-2+х²=х
х²-х-2=0
D=1-4*(-2)=1+8=9 (3²)
x1=1+3/2=4/2=2
х/х-у=-2
х=-2(х-у)
х=-2х+2у
2y=x+2x
2y=3x
y=3x/2
y1=3*2/2=6/2=3
x2=1-3/2=-2/2=-1
y2=3*(-1)/2=-3/2=-1,5
Ответ:
х1=2; у1=3
х2=-1; у2=-1,5
Вас заинтересует
3 года назад
3 года назад
8 лет назад
10 лет назад
10 лет назад
10 лет назад
10 лет назад