• Предмет: Математика
  • Автор: Doktorson
  • Вопрос задан 10 лет назад

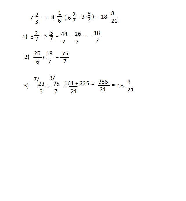
Помогите решить первый вариант с четвёртого примера, пожалуйста

Приложения:

Ответы

Ответ дал: maripry
0
................................................................
Приложения:
Вас заинтересует