• Предмет: Математика
  • Автор: vaip4
  • Вопрос задан 10 лет назад

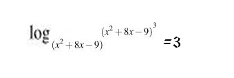
Помогите понять, верно ли это логарифмическое уравнение? 

Приложения:

Ответы

Ответ дал: ааоалало
0
Не равняется трем .......
Ответ дал: vaip4
0
Но если число подставить и решить то верно же вроде будет? В чем заковырка не могу понять
Ответ дал: ааоалало
0
если число поставить то да верно будет
Вас заинтересует