• Предмет: Математика
  • Автор: 12nikita98
  • Вопрос задан 10 лет назад

Помогите пожалуйста!!!
Решите 19 и 20.

Приложения:

Ответы

Ответ дал: TTpocToBlood
0
19 задание на фотографии 
Приложения:
Ответ дал: 12nikita98
0
Спасибо, можешь еще ход решения скинуть?
Ответ дал: TTpocToBlood
0
там его почти нет, ну сейчас распишу
Ответ дал: TTpocToBlood
0
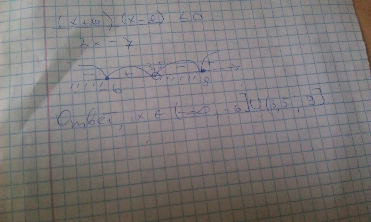
добавил ещё фотку
Ответ дал: 12nikita98
0
А где она?
Вас заинтересует