• Предмет: Математика
  • Автор: Аноним
  • Вопрос задан 10 лет назад

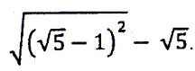
Чему равно значение выражения

Приложения:

Ответы

Ответ дал: Elivra
0
Значение выражения равно -1
Ответ дал: Аноним
0
спасиб)
Ответ дал: Elivra
0
Незачто
Вас заинтересует