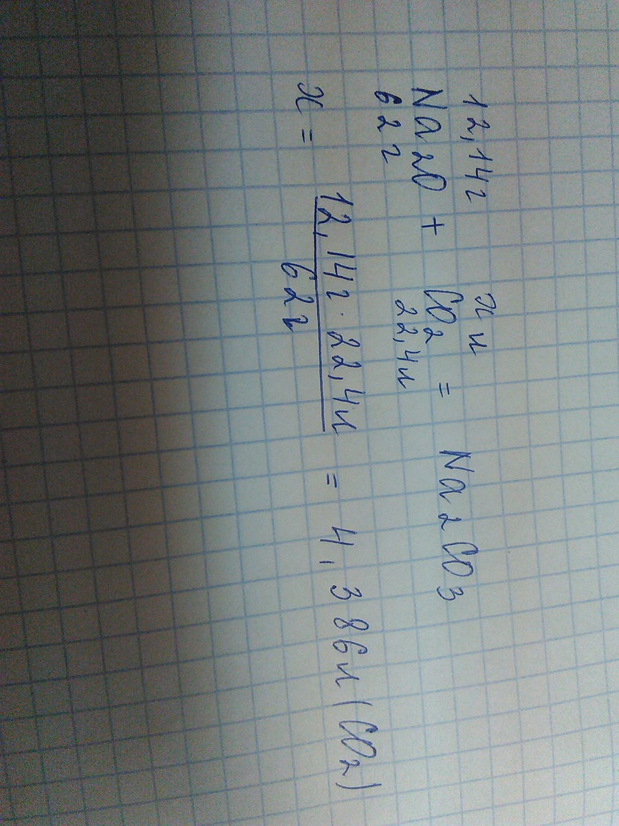
Помогите решить задачу !Какой объем углекислого газа потребуется для взаимодействия с 12,14 г оксида натрия ?
Ответы
Ответ дал:
0
решение во вложениииии.......
Приложения:

Вас заинтересует
2 года назад
2 года назад
7 лет назад
7 лет назад
9 лет назад
10 лет назад
10 лет назад