Ответы
Ответ дал:
0
1.
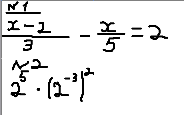
(x -2)/3 -x/5 =2
(5(x -2) -3x) /15 =2
5x -10 -3x =2*15
2x -10 =30
2x =30 +10
2x =40
x =20
ответ: x =20
2.
2^5 *(2^-3)² =2^5 *2^-6 =2^(5+(-6)) =2^-1 =1/2 =0.5
или
2^5 /2^6 =1/2 =0.5
(x -2)/3 -x/5 =2
(5(x -2) -3x) /15 =2
5x -10 -3x =2*15
2x -10 =30
2x =30 +10
2x =40
x =20
ответ: x =20
2.
2^5 *(2^-3)² =2^5 *2^-6 =2^(5+(-6)) =2^-1 =1/2 =0.5
или
2^5 /2^6 =1/2 =0.5
Ответ дал:
0
спасибо)
Ответ дал:
0
первый неправильно решен
Ответ дал:
0
это у вас он неправильно решен, вы куда знаменатель 15 дели??? знаменатель переносится вправо, тк уравнение равно не нулю, то 2*15
Вас заинтересует
3 года назад
3 года назад
8 лет назад
10 лет назад
10 лет назад