• Предмет: Алгебра
  • Автор: DeepDeepBlack
  • Вопрос задан 10 лет назад

ПОЖАЛУЙСТА помогите с алгеброй! задание С4!!

Приложения:

Ответы

Ответ дал: miron2077
0
!!!!!!!!!!!!!!!!!!!!!!!!!!!!!!!!!!!!
Приложения:
Ответ дал: DeepDeepBlack
0
ОГРОМНЕЙШЕЕ СПАСИБО ВАМ!
Ответ дал: miron2077
0
Пожалуйста! Ну почему мне все выкают? Мне пока 14 лет, я же не старше всех!
Ответ дал: DeepDeepBlack
0
блин( мне 16, и я не могу решить эту херь (((
Ответ дал: Ирасик
0
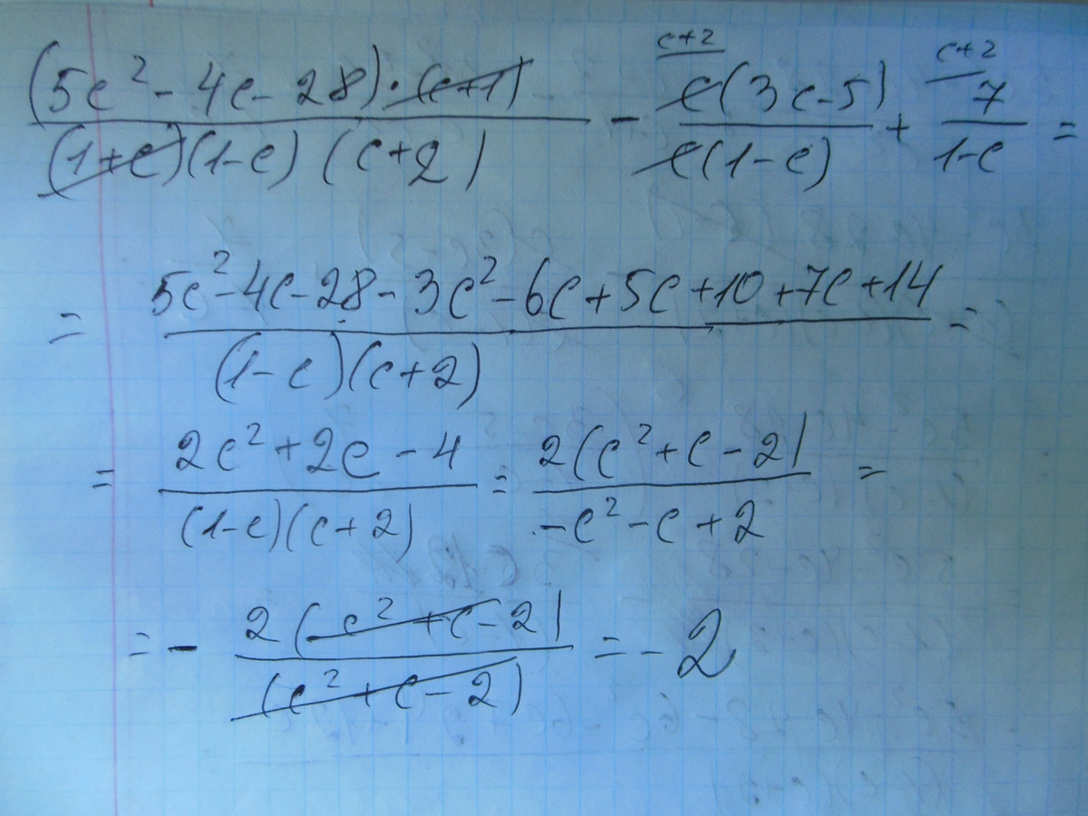
= frac{5c^{2} -4c-28}{(1-c)(1+c)} *  frac{c+1}{c+2} -  frac{3c^{2}-5c }{c(1-c)} +  frac{7}{1-c} =  frac{5c^{3}-4c^{2} -28c-3c^{3}-6c^{2}+5c^{2}+10c+7c^{2}+14c}{c(1-c)(c+2)}     frac{2c^{3}+2c^{2}-4c}{c(c+2-c^{2} -2c)} = -  frac{2c(c^{2}+c-2) }{c(c^{2} +c-2)} = -2
Приложения:
Ответ дал: Ирасик
0
Ну и ладно...
Вас заинтересует