• Предмет: Алгебра
  • Автор: theChurchil
  • Вопрос задан 10 лет назад

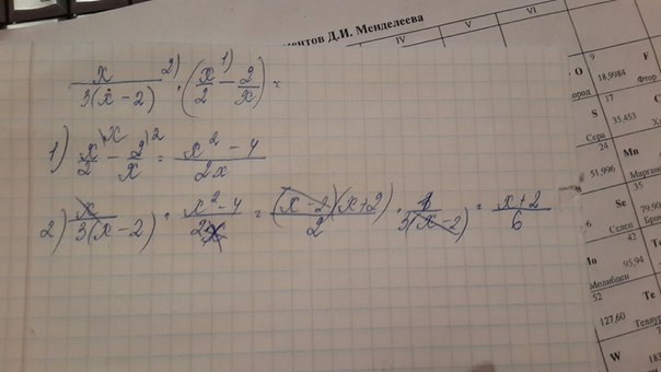
x/(3(x-2)*((x/2)-2/x)) помогите

Ответы

Ответ дал: Александра22000
0
все на фотке. если бы было дано х, тогда можно было бы решить. а так только сократить
Приложения:
Ответ дал: theChurchil
0
ну вот решено спс
Вас заинтересует