• Предмет: Математика
  • Автор: dddd19
  • Вопрос задан 10 лет назад

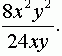
Укажите общий множитель числителя и знаменателя

Приложения:

Ответы

Ответ дал: deka1
0
8xy.......................
Вас заинтересует