Ответы
Ответ дал:
0
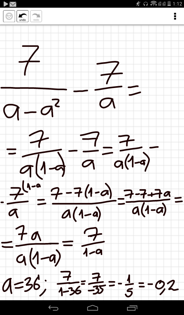
7/(a-a²) - 7/a = 7/(a-a²) - 7(1-a)/(a-a²) = 7-7+7a/(a-a²) = 7a/(a-a²) = 7/(1-a)
a=36; 7/(1-36) = 7/-35 = -1/5 ← твой ответ
a=36; 7/(1-36) = 7/-35 = -1/5 ← твой ответ
Приложения:

Ответ дал:
0
и говорит там запятую не видел это значит два примера
Ответ дал:
0
обидно как_то
Ответ дал:
0
В след. раз лучше фото
Ответ дал:
0
Удачи
Ответ дал:
0
и тебе того же
Вас заинтересует
2 года назад
9 лет назад
10 лет назад
10 лет назад