• Предмет: Математика
  • Автор: kiisonka
  • Вопрос задан 10 лет назад

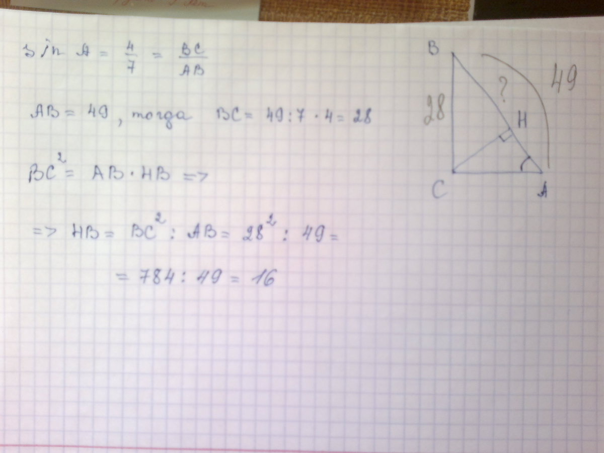
В Δ АВС угол С равен 90 градусам, СН – высота, sinA 4/7, АВ = 49. Найти ВН

Ответы

Ответ дал: ytekjdbvsq
0
Пишите, если что не так
Приложения:
Вас заинтересует