• Предмет: Математика
  • Автор: MikyTyan
  • Вопрос задан 10 лет назад

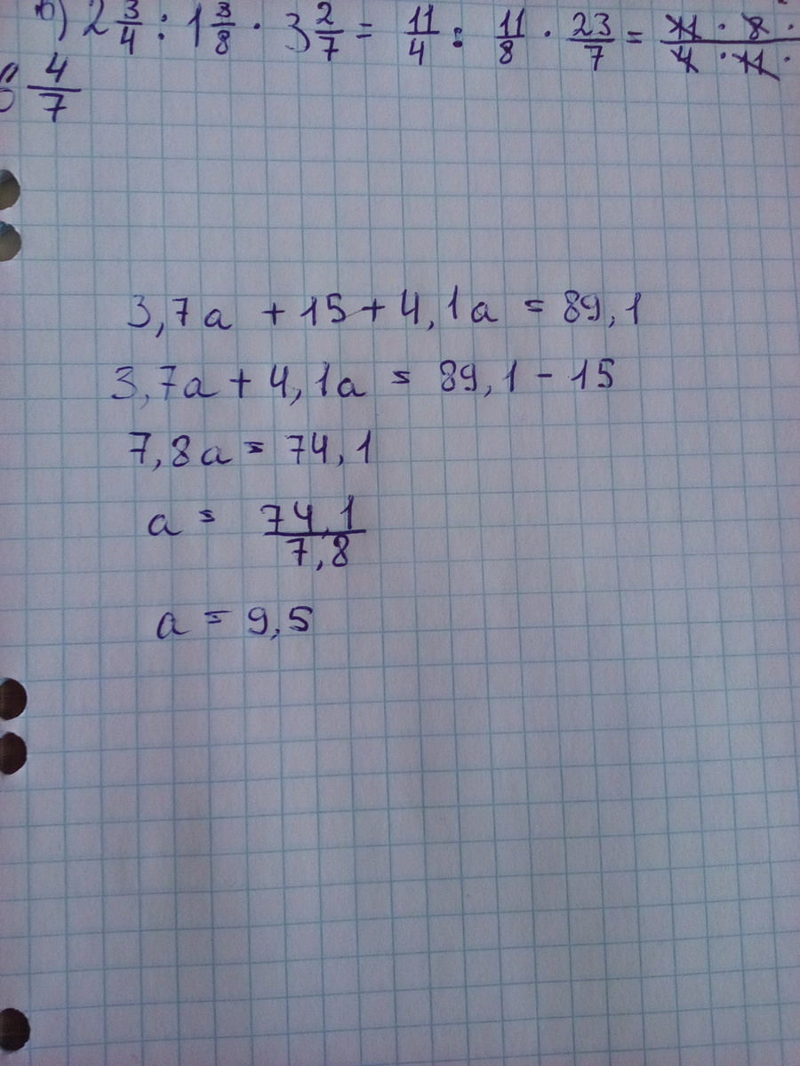
3,7а+15+4,1а=89,1
Пожалуйста, решите уравнение. Всех с праздником! С 9 Мая! Желаю всем успехов и удачи, отпразднуйте этот день в кругу семьи и порадуйте своих близких.

Ответы

Ответ дал: Unicorn551
0
Держи)))))))))))))))))))))))
Приложения:
Ответ дал: MikyTyan
0
Спасибо
Вас заинтересует