Угол падения луча на поверхность плоскопараллель¬ной пластинки равен 60°. Толщина пластинки 1,73 см, показатель преломления 1,73. На сколько смещается вы¬шедший из пластинки луч?
Ответы
Ответ дал:
0
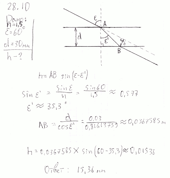
ε=60
d=1,73
n=1,73
h=?
1,73 ~√3
h=AB*sin(ε-ε1), AB- путь пройденный в стекле
sinε1=sinε/n=sin60/1,73=0,5
ε1=30
AB=d/cosε1=d/cos30=2
h=AB*sin(60-30)=2*sin30=1
Ответ: 1
d=1,73
n=1,73
h=?
1,73 ~√3
h=AB*sin(ε-ε1), AB- путь пройденный в стекле
sinε1=sinε/n=sin60/1,73=0,5
ε1=30
AB=d/cosε1=d/cos30=2
h=AB*sin(60-30)=2*sin30=1
Ответ: 1
Приложения:

Вас заинтересует
2 года назад
2 года назад
9 лет назад
9 лет назад
10 лет назад